Глобальная компьютерная сеть Интернет
Состав Интернета
Интернет - сеть сетей. Локальные сети обычно объединяют несколько десятков компьютеров, размещенных в одном здании, однако они не позволяют обеспечить совместный доступ к информации пользователям, находящимся, например, в различных частях города. В этом случае дистанционный доступ к информации обеспечивают региональные сети, объединяющие компьютеры в пределах одного региона (города, страны, континента).
Многие организации, заинтересованные в защите информации от несанкционированного доступа (например, военные, банковские и пр.), создают собственные, так называемые корпоративные сети. Корпоративная сеть может объединять тысячи и десятки тысяч компьютеров, размещенных в различных странах и городах.
Потребности формирования единого мирового информационного пространства привели к объединению локальных, региональных и корпоративных сетей в глобальную компьютерную сеть Интернет. В результате в настоящее время (на январь 2005 года) основу Интернета составляют более трехсот миллионов серверов.
Надежность функционирования глобальной сети обеспечивает большое количество каналов передачи информации с высокой пропускной способностью между локальными, региональными и корпоративными сетями. Например, российская региональная компьютерная сеть Рунет (RU) соединяется многочисленными каналами передачи информации с северо-американской (US), европейской (EU) и японской (JP) региональными сетями (рис. 6.5).
 |
| Рис. 6.5. Региональные компьютерные сети, объединенные в глобальную сеть Интернет |
Интернет - это глобальная компьютерная сеть, в которой локальные, региональные и корпоративные сети соединены между собой многочисленными каналами передачи информации с высокой пропускной способностью.
Подключение к Интернету. В каждой локальной, региональной или корпоративной сети имеется, по крайней мере, один компьютер (сервер Интернета), который имеет постоянное подключение к Интернету.
Для подключения локальных сетей чаще всего используются оптоволоконные линии связи. Однако в случаях подключения неудобно расположенных или удаленных компьютерных сетей, когда прокладка кабеля затруднена или невозможна, используются беспроводные линии связи. Если передающая и принимающая антенны находятся в пределах прямой видимости, то используются радиоканалы, в противном случае обмен информацией производится через спутниковый канал с использованием специальных антенн (рис. 6.6).
 |
| Рис. 6.6. Различные варианты подключения к глобальной компьютерной сети Интернет |
Сотни миллионов компьютеров пользователей могут периодически подключаться к Интернету по коммутируемым телефонным каналам с помощью провайдеров Интернета. Провайдеры Интернета имеют высокоскоростные соединения своих серверов с Интернетом и поэтому могут предоставить Интернет-доступ по телефонным каналам одновременно сотням и тысячам пользователей.
Для соединения компьютера пользователя по телефонному каналу с сервером Интернет-провайдера к обоим компьютерам должны быть подключены модемы. Модемы обеспечивают передачу цифровых компьютерных данных по аналоговым телефонным каналам со скоростью до 56 Кбит/с.
Современные ADSL-технологии позволяют использовать обычные телефонные каналы для высокоскоростного (1 Мбит/с и выше) подключения к Интернету. Важно, что при этом телефонный номер остается свободным.
Обычные и ADSL модемы подключаются к USB-порту компьютера и к разъему телефонной розетки (рис. 6.7).
 |
| Рис. 6.7. Обычный и ADSL модемы |
Пользователи портативных компьютеров могут подключаться к Интернету с использованием беспроводной технологии Wi-Fi. На вокзалах, в аэропортах и других общественных местах устанавливаются точки доступа беспроводной связи, подключенные к Интернету. В радиусе 100 м портативный компьютер, оснащенный беспроводной связью, автоматически получает доступ в Интернет со скоростью до 11 Мбит/с.
Контрольные вопросы
1. Какие типы компьютерных сетей образуют Интернет?
2. Какие существуют способы подключения к Интернету и каковы их достоинства и недостатки?
Адресация в Интернете
Интернет-адрес. Для того чтобы в процессе обмена информацией компьютеры могли найти друг друга, в Интернете существует единая система адресации, основанная на использовании Интернет-адресов.
Каждый компьютер, подключенный к Интернету, имеет свой уникальный двоичный 32-битовый Интернет-адрес.
Существует формула, которая связывает между собой количество возможных информационных сообщений N и количество информации I, которое несет полученное сообщение:
N = 2I.
Интернет-адрес несет количество информации I = 32 бита, тогда общее количество N различных Интернет-адресов равно:
N = 2I = 232 = 4 294 967 296
Интернет-адрес длиной 32 бита позволяет подключить к Интернету более 4 миллиардов компьютеров.
По новой технологии "Умный дом" к Интернету смогут быть подключены не только компьютеры, но и бытовые приборы (холодильники, стиральные машины и др.) и аудио- и видеотехника, которыми можно будет управлять дистанционно. В этом случае четырех миллиардов Интернет-адресов может оказаться недостаточно и придется перейти на более длинный Интернет-адрес.
Для удобства восприятия двоичный 32-битовый Интернет-адрес можно разбить на четыре части по 8 битов и каждую часть представить в десятичной форме. Десятичный Интернет-адрес состоит из четырех чисел в диапазоне от 0 до 255, разделенных точками (например, 213.171.37.202) (табл. 6.1).
| Таблица 6.1. Интернет-адрес в двоичной и десятичной форме |
| Двоичный |
11010101 |
10101011 |
00100101 |
11001010 |
| Десятичный |
213 |
171 |
37 |
202 |
|
Все серверы Интернета имеют постоянные Интернет-адреса. Однако провайдеры Интернета часто предоставляют пользователям доступ в Интернет не с постоянным, а с временным Интернет-адресом. Интернет-адрес может меняться при каждом подключении к Интернету, но в процессе сеанса остается неизменным и пользователь может его определить.
Доменная система имен. Человеку запомнить числовой адрес нелегко, поэтому для удобства пользователей Интернета была введена доменная система имен, которая ставит в соответствие числовому Интернет-адресу компьютера уникальное доменное имя.
Доменная система имен имеет иерархическую структуру: домены верхнего уровня - домены второго уровня - домены третьего уровня.
Домены верхнего уровня существуют двух типов: географические и административные. Каждой стране мира выделен свой географический домен, обозначаемый двухбуквенным кодом. Например, России принадлежит географический домен ru, в котором российские организации и граждане имеют право зарегистрировать домен второго уровня.
Административные домены обозначаются тремя или более буквами и предназначены для регистрации доменов второго уровня организациями различных типов (табл. 6.2).
| Таблица 6.2. Некоторые имена доменов верхнего уровня |
| Административные |
Тип организации |
Географические |
Страна |
| com, biz |
Коммерческая |
са |
Канада |
| edu |
Образовательная |
de |
Германия |
| net |
Коммуникационная |
JP |
Япония |
| org, pro |
Некоммерческая |
ru |
Россия |
| name |
Персональная |
it |
Италия |
| museum |
Музей |
uk |
Великобритания |
|
Так, компания Microsoft зарегистрировала домен второго уровня Microsoft в административном домене верхнего уровня com, а Московский институт открытого образования - домен второго уровня metodist в географическом домене верхнего уровня ru (рис. 6.8).
 |
| Рис. 6.8. Доменная система имен |
Доменное имя сервера Интернета состоит из последовательности (справа налево) имен домена верхнего уровня, домена второго уровня и собственно имени компьютера. Так, основной сервер компании Microsoft имеет имя www.microsoft.com, а сервер института имеет имя iit.metodist.ru.
Каждый компьютер, подключенный к Интернету, имеет Интернет-адрес, однако он может не иметь доменного имени. Доменные имена имеют серверы Интернета, но доменного имени обычно не имеют компьютеры, подключающиеся к Интернету по телефонным линиям.
Контрольные вопросы
1. Имеет ли каждый компьютер, подключенный к Интернету, Интернет-адрес? Доменное имя?
2. Как строится доменная система имен?
Задания для самостоятельного выполнения
6.3 Задание с кратким ответом. Двоичный 32-битовый Интернет-адрес компьютера 00001111000001110000001100000001 представить в десятичной форме.
6.4 Задание с кратким ответом. Записать доменное имя компьютера, зарегистрированного в домене первого уровня ru, домене второго уровня schools и имеющего собственное имя www.
Маршрутизация и транспортировка данных по компьютерным сетям
Сеть Интернет, являющаяся сетью сетей и объединяющая громадное количество различных локальных, региональных и корпоративных сетей, функционирует и развивается благодаря использованию единого принципа маршрутизации и транспортировки данных.
Маршрутизация данных. Маршрутизация данных обеспечивает передачу информации между компьютерами сети. Рассмотрим принцип маршрутизации данных по аналогии с передачей информации с помощью обычной почты. Для того чтобы письмо дошло по назначению, на конверте указывается адрес получателя (кому письмо) и адрес отправителя (от кого письмо).
Аналогично, передаваемая по сети информация "упаковывается в конверт", на котором "пишутся" Интернет-адреса компьютеров получателя и отправителя, например: "Кому: 198.78.213.185", "От кого: 193.124.5.33". Содержимое конверта на компьютерном языке называется Интернет-пакетом и представляет собой набор байтов.
В процессе пересылки обыкновенных писем они сначала доставляются на ближайшее к отправителю почтовое отделение, а затем передаются по цепочке почтовых отделений на ближайшее к получателю почтовое отделение. На промежуточных почтовых отделениях письма сортируются, т. е. определяется, на какое следующее почтовое отделение необходимо отправить то или иное письмо.
Интернет-пакеты на пути к компьютеру-получателю также проходят через многочисленные промежуточные серверы Интернета, на которых производится операция маршрутизации. В результате маршрутизации Интернет-пакеты направляются от одного сервера Интернета к другому, постепенно приближаясь к компьютеру-получателю.
Маршрутизация Интернет-пакетов обеспечивает доставку информации от компьютера-отправителя к компьютеру-получателю.
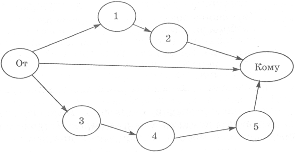
Маршруты доставки Интернет-пакетов могут быть совершенно разными, и поэтому первые Интернет-пакеты могут достичь компьютера-получателя в последнюю очередь. Например, в процессе передачи файла от сервера От к серверу Кому маршрут первого Интернет-пакета может быть От-1-2-Кому, второго - От-Кому и третьего - От-3-4-5-Кому (рис. 6.9).
 |
| Рис. 6.9. Маршрутизация и транспортировка данных |
"География" Интернета существенно отличается от привычной нам географии. Скорость получения информации зависит не от удаленности сервера Интернета, а от маршрута прохождения информации, т. е. количества промежуточных серверов и качества линий связи (их пропускной способности), по которым передается информация от сервера к серверу.
С маршрутом прохождения информации в Интернете можно познакомиться с помощью специальных программ, которые позволяют проследить, через какие серверы и с какой задержкой передается информация с выбранного сервера Интернета на ваш компьютер.
Транспортировка данных. Теперь представим себе, что нам необходимо переслать по почте многостраничную рукопись, а почта бандероли и посылки не принимает. Идея проста: если рукопись не помещается в обычный почтовый конверт, ее надо разобрать на листы и переслать их в нескольких конвертах. При этом листы рукописи необходимо обязательно пронумеровать, чтобы получатель знал, в какой последовательности потом эти листы собрать.
В Интернете часто случается аналогичная ситуация, когда компьютеры обмениваются большими по объему файлами. Если послать такой файл целиком, то он может надолго "закупорить" канал связи, сделать его недоступным для пересылки других сообщений.
Для того чтобы этого не происходило, на компьютере-отправителе необходимо разбить большой файл на мелкие части, пронумеровать их и транспортировать в форме отдельных Интернет-пакетов до компьютера-получателя.
На компьютере-получателе необходимо собрать исходный файл из отдельных частей в правильной последовательности, поэтому файл не может быть собран до тех пор, пока не придут все Интернет-пакеты.
Транспортировка данных производится путем разбиения файлов на Интернет-пакеты на компьютере-отправителе, индивидуальной маршрутизации каждого пакета и сборки файлов из пакетов в первоначальном порядке на компьютере-получателе.
Время транспортировки отдельных Интернет-пакетов между локальным компьютером и сервером Интернета можно определить с помощью специальных программ.
Маршрутизация и транспортировка данных в Интернете производится на основе протокола TCP/IP, который является основным "законом" Интернета. Термин "TCP/IP" включает название двух протоколов передачи данных:
- TCP (Transmission Control Protocol - транспортный протокол);
- IP (Internet Protocol - протокол маршрутизации).
Контрольные вопросы
1. Каким образом производится доставка данных по указанному Интернет-адресу?
2. В каких целях при передаче файлов по компьютерным сетям производится их разбиение на Интернет-пакеты?
|