Информатика на пять О нас
 Добавить в избранное
5byte.ru
 Теория
 8 класс
 9 класс
 10 класс
 11 класс
Задания
 8 класс
 9 класс
 10 класс
 11 класс
Книги
Тесты
ЕГЭ
Turbo Pascal 7
 Описание
 Задачи
HTML
Рефераты

Работа №8

Работа с формулами

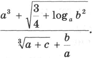
Вариант 1

Набрать формулу:

Вариант 2

Набрать формулу:

Вариант 3

Набрать по образцу следующий текст:

Пример. Найти область определения функции

Функция определена на множестве тех значений х, для которых 1-х2 ³ 0. Это есть отрезок [-1;1]. Итак, D(f1) = [-l;l].

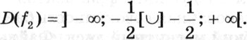
Вариант 4

Набрать по образцу следующий текст:

Пример. Найти область определения функции

Для функции естественной областью определения является множество всех значений аргумента, для которых знаменатель дроби не обращается в 0, т. е. x ¹-1/2

Итак,



 У Вас есть материал пишите нам
 
    Copyright © 2008    
  Top.Mail.Ru