Информатика на пять О нас
 Добавить в избранное
5byte.ru
 Теория
 8 класс
 9 класс
 10 класс
 11 класс
Задания
 8 класс
 9 класс
 10 класс
 11 класс
Книги
Тесты
ЕГЭ
Turbo Pascal 7
 Описание
 Задачи
HTML
Рефераты

Информационные модели на графах

2.1

Отразите в виде графа структуру следующих объектов, рассматривая их как системы:
1) велосипед;
2) кресло на колесиках;
3) зонтик;
4) ботинок;
5) учебник по математике;
6) учебник по русскому языку;
7) учебник по физике;
8) учебник по химии.

2.2

Структурная формула нитробензола имеет вид, показанный на рис. 1.

Рис. 1

Дайте ее словесное описание (из каких атомов молекула состоит, как они соединены друг с другом). Напоминаем, что С - это углерод, Н - водород, N - азот, О - кислород.

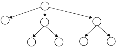
2.3

Пусть структура системы изображается графом, приведенным на рис. 2:

Рис. 2

Назовите объекты, имеющие такую структуру.

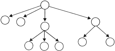
2.4

Пусть структура системы изображается графом, приведенным на рис. 3:

Рис. 3

Назовите объекты, имеющие такую структуру.

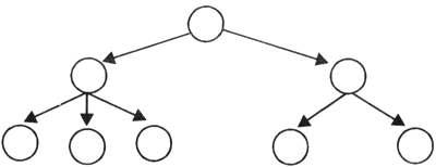
2.5

Пусть структура системы изображается графом, приведенным на рис. 4:

Рис. 4

Назовите объекты, имеющие такую структуру.

2.6

На рис. 5 приведена схема организации танкового батальона ФРГ по состоянию на середину 70-х гг. XX в. Ромбиками обозначены танки, входящие в то или иное подразделение. Подсчитайте количество танков в танковой роте и общее количество танков в батальоне.

Рис. 5
2.7

Изобразить в виде графа информацию об организации мотострелковых (мотопехотных) батальонов разных армий.

1. Мотострелковый батальон армии СССР

В середине 70-х гг. мотострелковый батальон Советской Армии насчитывал 395 человек и имел следующую структуру. Во главе стоял командир батальона. Ему подчинялись управление, штаб, 3 мотострелковые роты, взвод связи, минометная батарея, противотанковый взвод, отделение технического обслуживания, взвод снабжения и батальонный медицинский пункт. В управление батальоном входили сам комбат, заместитель по политической части, заместитель по технической части и техник батальона. Штаб состоял из начальника штаба, начальника связи, инструктора-дозиметриста, писаря и водителя бронетранспортера. Начальник связи являлся командиром взвода связи (еще 12 чел.). Минометная батарея состояла из управления (10 чел.) и двух взводов по 20 чел., в каждом - по 3 120-мм миномета. Противотанковый взвод состоял из отделения станковых противотанковых гранатометов (8 чел., 2 гранатомета СПГ-9) и двух отделений противотанковых управляемых ракет (по 6 чел. и по 2 ПТУ PC в отделении). Отделение технического обслуживания: командир отделения, водитель-автослесарь и старший механик. Взвод снабжения: командир взвода, его заместитель, хозяйственная часть (3 чел.) и автотранспортное отделение (4 чел.). Батальонный медицинский пункт: начальник пункта, шофер-санитар и 2 санитара.

Мотострелковая рота состояла из управления (командир роты, заместитель по политической части, старшина роты), пулеметного отделения и 3 мотострелковых взводов. Пулеметное отделение состояло из командира отделения, водителя бронетранспортера и двух пулеметных расчетов, в каждом пулеметчик и помощник пулеметчика. Мотострелковый взвод имел командира взвода, заместителя командира и 3 мотострелковых отделения. В каждом отделении: командир отделения, пулеметчик, гранатометчик, помощник гранатометчика, старший автоматчик, 3 автоматчика и водитель бронетранспортера.

2. Мотопехотный батальон армии США

В середине 70-х гг. мотопехотный батальон армии США насчитывал 888 чел. и имел следующую организацию. Во главе стоял командир батальона. Ему подчинялся штаб и 5 рот: штабная (177 чел.), огневой поддержки (144 чел.) и 3 мотопехотные (по 189 чел. в каждой). Штабная рота состояла из 5 взводов: взвода связи, ремонтного взвода, взвода обеспечения, медицинского взвода и секции обслуживания штаба батальона. Рота огневой поддержки состояла из управления роты, радиолокационной секции, секции зенитных ракет (ЗУРО) "Ред-Ай", взвода разведки, минометного взвода и противотанкового взвода. Радиолокационная секция имела в своем составе 4 радиолокационные станции: две - малого радиуса действия (2-4 км), две - среднего (4-8 км). Секция ЗУРО имела 5 огневых расчетов по 6 установок "Ред-Ай" в каждом. Взвод разведки делился на группу управления (6 чел.) и две разведсекции (по 12 чел.). Минометный взвод состоял из группы управления и 4 отделений (в каждом - по одному миномету калибра 106,7 мм). Противотанковый взвод состоял из группы управления и 6 отделений, каждое - из двух расчетов противотанковых управляемых ракет (ПТУPC) "Toy".

Мотопехотная рота состояла из управления роты, минометного взвода и 3 мотопехотных взводов. Минометный взвод состоял из группы управления и трех минометных отделений, каждое из которых имело миномет калибра 81 мм. Мотопехотный взвод (47 чел.) состоял из группы управления (командир взвода, помощник командира и радист), отделения оружия (11 чел.) и 3 мотопехотных отделений (по 11 чел. в каждом). Отделение оружия состояло из командира отделения, двух пулеметных расчетов по 2 чел. в каждом, двух расчетов противотанковых ружей по 2 чел. в каждом и двух подносчиков. Мотопехотное отделение состояло из командира отделения, водителя бронетранспортера и двух групп: группы "А" (командир группы, гранатометчик и 2 стрелка) и группы "Б" (командир группы, гранатометчик и 3 стрелка).

3. Мотопехотный батальон армии ФРГ

В середине 70-х гг. в армии ФРГ были мотопехотные батальоны двух видов: на боевых машинах пехоты (БМП) "Mapдер" и на бронетранспортерах (БТР) HS-30.

Батальон на БМП имел численность 764 чел. Во главе батальона стоял командир, которому подчинялись штаб и 5 рот: штабная и снабжения, минометная и 3 мотопехотные. Рота штабная и снабжения состояла из управления и 3 взводов: штабного, связи и снабжения. В штабном взводе было 4 отделения: штабное, мотоциклистов, транспортное и разведывательное. Во взводе связи было 3 отделения радиосвязи и 2 отделения проводной связи. Во взводе снабжения было 4 отделения: материально-технического обеспечения, продовольственного снабжения, транспортное и санитарное. Минометная рота состояла из управления, двух отделений передового наблюдения, отделения обеспечения и б расчетов 120-мм минометов. Каждая мотопехотная рота (163 чел.) имела в своем составе 3 мотопехотных взвода по 48 чел. Каждый взвод состоял из группы управления и 4 мотопехотных отделений по 10 чел. Отделение делилось на две группы: первая - командир машины, наводчик-оператор (БМП "Мардер" оснащалась 20-мм пушкой и двумя пулеметами) и механик-водитель; вторая - командир отделения, пулеметчик, гранатометчик, огнеметчик и 3 стрелка.

2.8

Биологическая классификация - 1

Согласно биологической классификации выделяют 3 империи (надцарства): археобактерии, эукариоты и прокариоты. К империи эукариотов относятся царства грибов, растений и животных. К царству животных относятся типы членистоногих, моллюсков, иглокожих, кишечнополостных, хордовых и др. К типу хордовых относятся классы рыб, амфибий, рептилий, млекопитающих, птиц. К классу млекопитающих относятся отряды китов, ластоногих, хищных, грызунов, копытных и др. К отряду хищных относятся семейства медвежьих, енотовых, псовых, виверровых, кошачьих и др. К семейству псовых относятся роды лисиц, енотовидных собак, собак, фенеков, песцов и др. К роду собак относятся виды собак домашних, волков, шакалов, койотов. К виду собак домашних относятся овчарки, спаниели, водолазы, сенбернары, доги, болонки и др. Построить граф классификации. Является ли он деревом?

2.9

Биологическая классификация - 2

Согласно биологической классификации царства делятся на типы, типы - на классы, классы - на семейства, семейства - на роды, роды - на виды.

Все существа царства животных не способны сами генерировать питательные вещества.

Все животные типа моллюсков двусторонне симметричны, имеют раковину, тело их делится на три отдела: голову, туловище и ногу. У моллюсков класса брюхоногих раковина - из одного куска, спирально закрученная. У моллюсков класса двустворчатых раковины - двустворчатые. У моллюсков класса головоногих нога имеет форму венца щупалец на голове, раковина скрыта под мантией (кроме наутилуса), все они хищники.

Все животные типа иглокожих радиально симметричны, имеют под кожей скелет из известковых пластинок с шипами, который может выступать наружу. Все иглокожие класса морских лилий имеют тело в форме "чашечки", от которой отходят 5 раздваивающихся "рук". Все иглокожие класса морских звезд имеют тело в форме звезды или правильного пятиугольника, скелетные пластинки у них соединены подвижно связками и мускулами, все они хищники. У иглокожих класса змеехвосток лучи четко обособлены от диска, членистые, подвижные, напоминают хвосты змей. Все иглокожие класса морских ежей имеют тело шарообразное или яйцевидное, заключенное в усаженный иглами панцирь из 20 рядов сросшихся пластинок. У иглокожих класса голотурий скелет сократился до отдельных элементов, за счет чего они могут менять форму; вокруг рта имеют венец из 8-30 щупалец.

Построить граф классификации. Используя граф, определить, какими признаками будут обладать следующие существа:
1) морской гребешок - из класса двустворчатых,
2) трепанг - из класса голотурий,
3) виноградная улитка - из класса брюхоногих,
4) голова Горгоны - из класса змеехвосток,
5) осьминог - из класса головоногих,
6) мидия - из класса двустворчатых,
7) теребра - из класса брюхоногих,
8) каракатица - из класса головоногих,
9) лилия стебельчатая - из класса морских лилий,
10) кукумария - из класса голотурий,
11) устрица - из класса двустворчатых,
12) кальмар - из класса головоногих.

2.10

Биологическая классификация - 3

Согласно биологической классификации царства делятся на типы, типы - на классы, классы - на семейства, семейства - на роды, роды - на виды.

Все существа царства животных не способны сами генерировать питательные вещества.

Все животные типа хордовых имеют хорду (спинную струну - ось внутреннего скелета), центральная нервная система у них проходит по спинной стороне.

Все хордовые класса птиц двуногие, имеют передние конечности в виде крыльев, откладывают яйца.

У всех птиц отряда аистообразных нет перьев между основанием клюва и глазами.

Все аистообразные семейства цаплевых имеют длинные острые когти. Цаплевые рода белых цапель имеют черно-белое оперение и белые маховые и рулевые перья. У цаплевых рода косматых цапель спина окрашена зимой и летом, ноги желтые или бурые. У цаплевых рода серые цапли маховые и рулевые перья темные или серые. Белые цапли вида белая цапля малая имеют черный клюв и хохолок на затылке из 2-3 длинных перьев. Белые цапли вида белая цапля большая не имеют хохолка на затылке. У косматых цапель вида цапля желтая на затылке 10 белых перьев с черными каемками. У косматых цапель вида цапля белокрылая на затылке 4-6 ржаво-коричневых перьев. У серых цапель вида цапля рыжая спина серая с рыжим налетом. У серых цапель вида цапля серая спина серая без рыжего налета.

Все аистообразные семейства аистовых имеют короткие тупые когти. Аистовые рода аистов имеют длинную шею и конический клюв. Аисты вида аист белый имеют оперение белое, кроме черных крыльев. Аисты вида аист черный имеют оперение черное, но грудь и брюхо белые.

У всех птиц отряда гусеобразных клюв прямой, по краям расположены роговые пластинки или зубчики.

Все гусеобразные семейства утиных имеют плотное оперение с густым пухом.

У всех утиных подсемейства гусиных цевка (нижний сустав ноги) покрыта мелкими пластинками. Гусиные рода лебедей имеют маховые крылья белые или дымчатые. Гусиные рода гусей имеют голову темную, ноги красноватые. Лебеди вида лебедь-шипун имеют клиновидный хвост (боковые перья короче средних). У лебедей вида лебедь-кликун хвост закруглен. У лебедей вида лебедь малый клюв черный с большим черным пятном. У лебедей вида лебедь американский клюв черный. Гуси вида гусь-гуменник имеют клюв черный с оранжевой полосой. Гуси вида гусь серый имеют клюв светлый одноцветный. Гуси вида гусь белолобый имеют на лбу большое белое пятно. У всех утиных подсемейства утиных цевка спереди покрыта крупными щитками. Утиные рода утки имеют крупные размеры (длина крыла - более 20 см). Утиные рода чирки имеют маховые крылья темные с белыми каемками. Утиные рода гоголи имеют широкий клюв. У уток вида широконоска клюв в конечной части почти в два раза шире, чем в основной. У уток вида шилохвость хвост длинный, клиновидный. У уток вида кряква обыкновенная клюв оливкового цвета. У чирков вида чирок-трескунок стержни маховых крыльев беловатые. У чирков вида чирок-клокотун стержни маховых перьев бурые. У гоголей вида гоголь обыкновенный длина крыла более 180 мм. У гоголей вида гоголь малый длина крыла менее 180 мм.

1. Представить указанную часть биологической классификации в виде графа.

2. Назвать все указанные в тексте признаки птиц следующих видов:
1) белая цапля малая,
2) белая цапля большая,
3) цапля желтая,
4) цапля белокрылая,
5) цапля рыжая,
6) цапля серая,
7) аист белый,
8) аист черный,
9) лебедь-шипун,
10) лебедь-кликун,
11) лебедь малый,
12) лебедь американский,
13) гусь-гуменник,
14) гусь серый,
15) гусь белолобый,
16) широконоска,
17) шилохвость,
18) кряква обыкновенная,
19) чирок-трескунок,
20) чирок-клокотун,
21) гоголь обыкновенный,
22) гоголь малый.

2.11

Представить информацию о классификации в русском языке в виде графа. Является ли полученный граф деревом? Классификации в русском языке.

1. Местоимения в русском языке бывают трех лиц: 1-го, 2-го и 3-го. Во всех трех лицах они могут быть единственного и множественного числа. Местоимения 3-го лица единственного числа кроме того изменяются по родам. Местоимение 1-го лица единственного числа - я, местоимение 1-го лица множественного числа - мы. Местоимение 2-го лица единственного числа - ты, местоимение 2-го лица множественного числа - вы. Местоимения 3-го лица единственного числа: мужского рода - он, женского рода - она, среднего рода - оно. Местоимение 3-го лица множественного числа - они.

2. Числительные в русском языке классифицируются по составу и по значению. По составу они делятся на простые, сложные и составные. Пример простых числительных: четыре, пять. Пример сложных числительных: шестьдесят, пятьсот. Пример составных числительных: тридцать пять, сто пятьдесят четыре. По значению числительные делятся на порядковые и количественные. Пример порядковых числительных: второй, девятый. Пример количественных числительных: шесть, два.

3. Предложения в русском языке классифицируются по составу, по интонации и по цели высказывания.

По составу предложения делятся на нераспространенные и распространенные. Нераспространенные предложения состоят только из двух членов: подлежащего и сказуемого. Пример нераспространенного предложения: "Птицы прилетели". Распространенные предложения состоят из подлежащего, сказуемого и второстепенных членов предложения. Пример распространенного предложения: "Ранней весной прилетели первые птицы".

По интонации предложения делятся на восклицательные ("Пришла весна!") и невосклицательные ("Пришла весна."). По цели высказывания предложения делятся на повествовательные, вопросительные и побудительные. Повествовательное предложение: "Мы собрали много грибов и ягод". Вопросительное предложение: "Вы собрали много грибов и ягод?". Побудительное предложение: "Собирайте грибы и ягоды!".

4. Существительные бывают одушевленные и неодушевленные. Одушевленные отвечают на вопрос "кто?", неодушевленные - "что?". И одушевленные, и неодушевленные относятся к одному из трех родов: мужскому, женскому или среднему. К мужскому роду относятся существительные, к которым можно поставить слова "он", "мой". К женскому роду относятся существительные, к которым можно поставить слова "она", "моя". К среднему роду относятся существительные, к которым можно поставить слова "оно", "моё". Пример одушевленных существительных мужского рода: мужчина, Иван. Пример одушевленных существительных женского рода: девушка, Мария. Пример одушевленного существительного среднего рода: Чудо-Юдо. Пример неодушевленных существительных мужского рода: праздник, огород. Пример неодушевленных существительных женского рода: улица, тетрадь. Пример неодушевленного существительного среднего рода: озеро, утро.

5. В русском языке существительные бывают трех склонений: 1-го, 2-го и 3-го. К 1-му склонению относятся существительные мужского и женского рода с окончаниями -а/-я. Ко 2-му склонению относятся существительные мужского рода с пустым окончанием и существительные среднего рода с окончаниями -о/-е. К 3-му склонению относятся существительные женского рода с пустым окончанием. Пример существительных 1-го склонения: женского рода - береза, земля; мужского рода - юноша, дядя.

Пример существительных 2-го склонения: мужского рода - ученик, день, трамвай; среднего рода - утро, сердце. Пример существительных 3-го склонения: сирень, пристань.

2.12

Составить родословное дерево потомков Владимира Мономаха.

Потомки Владимира Мономаха

Владимир Мономах умер в 1125 г. Он оставил 4 сыновей: Мстислава (год смерти - 1132), Ярополка (1139), Вячеслава Туровского (1154) и Юрия Долгорукого (1157). После Мстислава осталось 3 сына: Изяслав Волынский (1154), Всеволод Новгородский (1138) и Ростислав Смоленский (1168). У Изяслава Волынского был сын Мстислав (1170), у Мстислава сын Роман (1205), у Романа - Даниил Галицкий (1264). Ростислав Смоленский имел 4 сыновей: Романа (1180), Рюрика (1215), Давида (1197) и Мстислава Храброго (1180). После Романа Ростиславича остался сын Мстислав Киевский (1224), после * Мстислава Храброго - сын Мстислав Удалой (1228). Юрий Долгорукий имел 3 сыновей: Андрея Боголюбского (1175), Михаила (1177) и Всеволода (1212). Сыновьями Всеволода были Константин (1217), Юрий (1238) и Ярослав (1246). У Ярослава Всеволодовича было 3 сына: Александр Невский (1263), Андрей Суздальский (1264) и Ярослав Тверской (1272). Сыновья Александра Невского: Димитрий Переяславский (1294), Андрей Городецкий (1304) и Даниил Московский (1303). У Андрея Суздальского был сын Василий (годы его жизни неизвестны), у Ярослава Тверского - сын Михаил (1318).

2.13

Какое значение получится на выходе схемы на рис. 6, если на вход подать а) число 3; б) число 1; в) число 25?

Рис. 6
2.14

Представьте в виде блок-схемы процесс принятия федеральных законов Российской Федерации. Вершины графа будут изображать действия, дуги - их последовательность.

Принятие Федеральных Законов Российской Федерации

Согласно ст. 105, 107 конституции 1993 г. принятие федеральных законов регулируется следующими положениями:
1) В принятии закона принимают участие Государственная Дума, Совет Федерации и президент.
2) Закон принимает Государственная Дума.
3) Затем закон передается в Совет Федерации, который либо одобряет закон, либо отклоняет его (налагает вето).
4) Если Совет Федерации одобрил закон, закон направляется президенту.
5) Если Совет Федерации отклонил закон, закон возвращается в Государственную Думу.
6) Если Государственная Дума соглашается изменить закон, то все действия по принятию закона повторяются с самого начала.
7) Если Государственная Дума не согласна изменить закон, она проводит по нему повторное голосование.
8) Если при повторном голосовании в Думе закон получил менее 2/3 голосов, то Государственная Дума обязана внести в закон изменения и повторить все действия по принятию закона.
9) Если при повторном голосовании в Думе закон получил не менее 2/3 голосов, он считается принятым, несмотря на вето Совета Федерации ("Государственная Дума преодолела вето Совета Федерации").
10) В этом случае принятый закон направляется президенту.
11) Президент рассматривает полученный им закон и может одобрить его или отклонить (наложить вето).
12) В случае одобрения президент подписывает и обнародует закон, после чего закон вступает в силу.
13) В случае отклонения президентом закон возвращается в Государственную Думу.
14) Если Государственная Дума согласна изменить закон, то все действия по принятию закона повторяются с самого начала.
15) Если Государственная Дума не согласна изменить закон, она проводит по нему повторное голосование.
16) Если при повторном голосовании в Думе закон получил менее 2/3 голосов, то Государственная Дума обязана внести в закон изменения и повторить все действия по принятию закона.
17) Если при повторном голосовании в Думе закон получил не менее 2/3 голосов, он направляется в Совет Федерации ("Государственная Дума преодолела вето президента").
18) В этом случае Совет Федерации также проводит повторное голосование по закону.
19) Если при повторном голосовании в Совете Федерации закон получил менее 2/3 голосов, он возвращается в Думу.
20) Если при повторном голосовании в Совете Федерации закон получил не менее 2/3 голосов (Совет Федерации преодолел вето президента), закон направляется президенту. В этом случае президент обязан подписать и обнародовать закон.


Творческие задачи и проекты

Классифицируйте своих знакомых (не менее 20 человек) по причине вашего знакомства (одноклассники, ребята из одного двора, игроки одной команды и т. д.). Представьте результат в виде графа. Является ли полученный граф деревом? Есть ли такие люди, которые попали сразу в несколько классов?

Выберите из телепрограммы на текущую неделю передачи, которые представляют для вас интерес (не менее 20). Классифицируйте их:

1) по дате,

2) по телеканалам,

3) по категории (художественные фильмы, мультфильмы, спортивные передачи и т. п.).

Представьте результат в виде графа. Является ли полученный граф деревом? Есть ли такие передачи, которые попали сразу в несколько классов?

ЗА

Классифицируйте известные вам книги (не менее 20):

1) по жанру (учебники, приключения, фантастика, справочники и т. п.),

2) по времени издания (в один класс можно объединять книги, изданные за какой-то промежуток времени),

3) по городу издания.

Представьте результат в виде графа. Является ли полученный граф деревом? Есть ли такие книги, которые попали сразу в несколько классов?

1) Представьте в виде графа свою родословную по отцовской линии.

2) Представьте в виде графа свою родословную по материнской линии.





 У Вас есть материал пишите нам
 
    Copyright © 2008    
  Top.Mail.Ru